崇義歐沛克石油化工有限公司崇義城區加油站新建二級加油站工程項目
發布時間:2020-03-26
|
安全評價單位名稱 |
崇義歐沛克石油化工有限公司崇義城區加油站 |
||
|
項目名稱: |
新建二級加油站工程項目安全預評價報告 |
||
|
簡 介: |
|||
|
安全評價項目組長: |
李永輝 |
||
|
技術負責人: |
夏長喜 |
||
|
過程控制負責人: |
王海波 |
||
|
評價報告編制人: |
李永輝 |
||
|
報告審核人: |
林大建 |
||
|
參與評價工作的安全評價師: |
李永輝、陳 浩 |
||
|
注冊安全工程師: |
劉志強、李永輝 |
||
|
技術專家: |
劉志強,化工工藝工程師 |
||
|
到現場開展安全評價工作的人員名單: |
李永輝、劉志強 |
||
|
時間和主要任務: |
完成時間:2020年3月26日;
主要任務:安全預評價報告; |
||
|
評價報告: |
|||
|
一、評價對象及范圍:
崇義歐沛克石油化工有限公司崇義城區加油站新建二級加油站工程項目的選址、總平面布置、主體裝置和輔助設施的安全條件,主要為改建所涉及的油罐區及卸油、加油機及加油工藝管道設施,消防安全,防雷設施。利舊設施包括站房、發電機間,衛生間。包括經營過程中的危險和危害因素、建設項目的安全條件以及規劃設計中提出的工藝、設備設施的安全可靠性和勞動安全管理方面的組織、機構、人員、防護設施、作業環境及管理制度等。具體范圍如下:
1.3層站房1棟及加油罩棚、發配電室、4層辦公樓1棟
二、項目基本情況:
(1)油罐區:設貯罐5臺:0#柴油儲罐2臺,每臺儲罐為37.5m³、92#汽油儲罐1臺,儲罐容積為37.5m³、95#汽油儲罐1臺,儲罐為37.5m³,98#汽油儲罐1臺,儲罐為37.5m³,總容量為187.5m³,折合汽油為150m³,儲罐用雙層油罐,并設置承重油罐池,埋地敷設,油罐周圍回填沙子或細土;承重罐池面積為13.0×20.5m=266.5㎡。加油區設置4臺一機4槍加油機。本站屬二級加油站。
(2)加油區:加油區設有2排加油島,4臺加油機;加油島上方設有罩棚,有效高度為7.3m,罩棚采用鋼結構網架,面積25m×22m=550㎡,建筑耐火等級為二級,罩棚邊緣與加油島的最近平面距離為5m。
(3)站房:3層建筑,占地面積7.2m×18.2m=131.04㎡,總建筑面積為393.12㎡,耐火等級二級,建筑類別為三類,屋面防水為二級,抗震設防烈度為6度。
(4)辦公樓:4層建筑,占地面積7.4m×21.8m=161.32㎡,總建筑面積為645.28㎡,耐火等級二級,建筑類別為三類,屋面防水為二級,抗震設防烈度為6度。
⑴周邊環境
該擬建站位于崇義縣橫水鎮上營村上寡公路東側,加油站朝向西面。目前,該項目四周環境情況如下:
東面:為山澗小溪,小溪東面為雜樹林,山地,植被良好。
南面:上寡公路下坡拐彎,公路南面也是雜樹林,山地,植被良好。
西面:空地,有一塊平整土地,再往外也是雜樹林,山地,植被良好。
北面:上寡公路下坡拐彎,公路外側也是雜樹林,山地,植被良好。
卸油工藝:油罐車行駛至加油站內密封卸油口停車處,利用油罐車與地下儲油罐的高位差,采用密閉式卸油。采用油氣回收系統,在油罐車卸油過程中,將原來儲油罐內散溢的油氣,通過油氣回收地下工藝管線及卸車軟管重新收集至油罐車內,實現卸油與油氣等體積置換。其工藝流程如下圖:
卸油油氣
卸油工藝流程圖
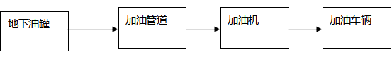
加油工藝:加油作業時,采用潛油泵提供的動力,油品通過加油管道至加油機,進入受油容器。同時,加汽油作業時,有油氣回收回收系統,汽油蒸汽通過油氣回收管道回至汽油罐。具體流程見下圖:
柴油加油工藝流程圖
汽油加油工藝流程圖
三、評價結論 |
|||
|
提交時間: |
2020年3月26日 |
||
|
現場影像資料 |
|||





